近日,西北大学现代物理研究所何院耀教授团队与合作者在二维相互作用费米气体研究中取得重要进展。研究团队结合量子气体显微镜实验技术和量子蒙特卡洛(QMC)精确计算,系统研究了二维相互作用费米气体的空间电荷与自旋关联函数,揭示了标志费米子配对的关键证据—自旋关联中的非局域反关联现象,并发现该现象超出传统BCS平均场理论的预测;建立了两点与三点关联函数的近似关系,完成了Tan接触参数的高精度测量并与QMC计算结果高度一致。这项研究为理解强关联费米体系中的费米子配对及超流微观机理提供了重要的实验与理论支撑。该研究成果以“Observing Spatial Charge and Spin Correlations in a Strongly Interacting Fermi Gas”为题,于2026年4月15日发表于物理学顶级期刊《物理评论快报》(Physical Review Letters)。该工作不仅同时入选“物理学亮点”(Featured in Physics)和“编辑推荐”(Editors' Suggestion),还被选为当期的封面文章。何院耀教授、美国Flatiron研究所Shiwei Zhang教授、法国卡斯特勒布罗塞尔实验室 Tarik Yefsah教授为论文共同通讯作者。该工作得到了国家自然科学基金委“彭桓武高能基础理论中心”项目、国家自然科学基金项目以及陕西省青年创新团队的支持。

原文链接:
https://journals.aps.org/prl/abstract/10.1103/2t2k-3ftx
APS网站“Physics”专题报道链接:
http://physics.aps.org/articles/v19/54

被选为PRL当期的封面文章
研究内容简介:
相互作用费米气体是凝聚态物理中一类非常典型的关联费米子体系,其中不同自旋分量的费米子之间具有接触吸引相互作用。该体系中最重要的物理现象是费米超流和BCS-BEC过渡行为。近年来,随着超冷原子物理的快速发展,相互作用费米气体的实验和理论研究均取得了重大进展。随着实验室制备和精确调控的实现,该体系已经逐渐成为物理学中非常重要的研究平台——用于研究众多强关联费米子体系的物理性质和检验与其相关的理论,如高温超导材料、中子星中的夸克-胶子等离子体等。
由于相互作用费米气体是连续介质体系,基于超冷原子模拟的实验研究长期受限于实空间成像技术的空间分辨率问题,难以直接测量该体系的空间关联信息。同时,因Mermin-Wagner定理限制,二维相互作用费米气体的超流相变为BKT转变,对其微观关联行为的系统研究对理解低维量子多体物理具有重要价值。

图1: 二维相互作用费米气体及其大致相图,以及连续体系量子气体显微镜技术示意图。
在这项最新的研究中[Phys. Rev. Lett. 136, 153402 (2026)],Tarik Yefsah教授领导的实验团队在Li6费米原子组成的二维相互作用费米气体中,发展了连续体系量子气体显微镜技术:通过光学晶格钉扎冻结原子运动,结合荧光成像实现原位单原子分辨,采集电荷密度和单自旋分量的空间分布,从而获取电荷关联、同自旋关联、异自旋关联等两点关联函数,以及在等边三角形上的三点关联函数。相关的实验测量过程如图1所示。在理论计算方面,何院耀教授和Shiwei Zhang教授采用团队先前发展的有限温量子蒙特卡洛算法的线性加速算法[Phys. Rev. Lett. 123, 136402 (2019)],在与实验测量相同的参数条件下,对二维相互作用费米气体进行高效数值模拟,得到了空间电荷和自旋关联的精确计算结果。在此之前,何院耀教授团队已利用该加速算法系统研究了二维相互作用费米气体的超流BKT相变、BCS-BEC渡越行为以及Tan接触参数等物理性质[Phys. Rev. Lett. 129, 076403 (2022)]。

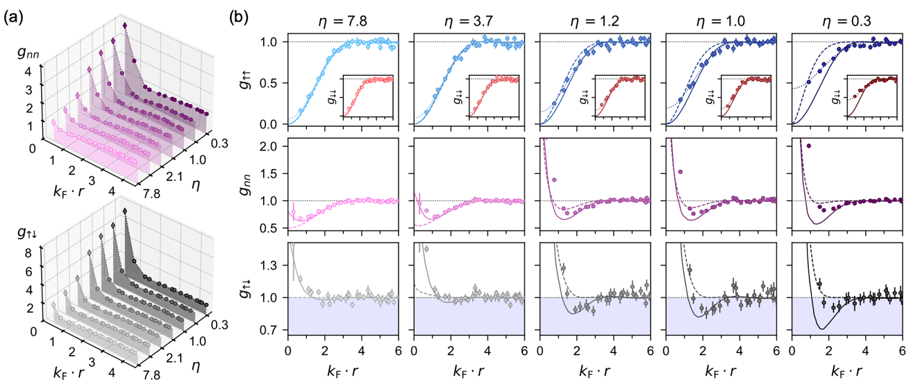
图2: 实空间的两点电荷和自旋关联函数:离散点为实验测量,实线为QMC,虚线为BCS平均场理论。

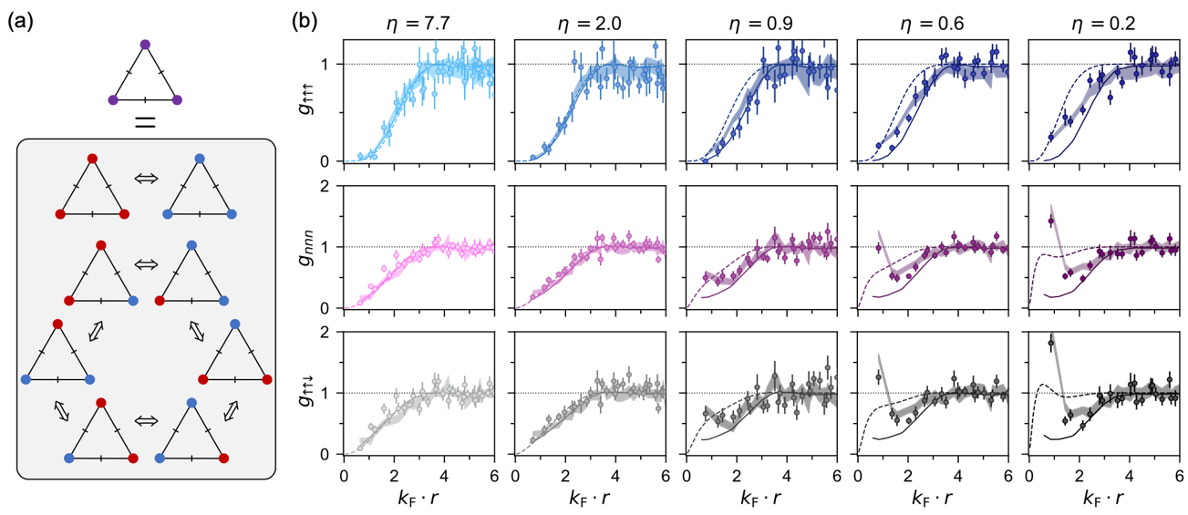
图3: 等边三角形上的三点电荷和自旋关联函数:离散点为实验测量,实线为QMC,虚线为BCS平均场理论,阴影带为通过两点关联函数和赝Wick展开公式计算得到的三点关联函数。
在上述工作中,研究团队在物理内容方面取得了多项重要发现:
(1)通过实空间电荷关联函数,清晰呈现了该体系的BCS-BEC渡越行为;在相反自旋关联函数中观察到费米子配对的标志性现象——非局域反关联现象,且该现象完全超出传统BCS平均场理论的预测(即使是在弱相互作用的BCS区域),如图2所示。此外,还观察到相同自旋的关联函数结果在BCS区域到渡越区,都与理想费米气体结果高度一致。这些发现对传统BCS理论提出了新的挑战。
(2)发现等边三角形上的三点关联函数,可以通过赝Wick展开公式用两点关联函数表示出来,并通过实验数据和理论计算结果均验证了该近似公式在BCS到BEC整个区域的高度精确性(如图3所示)。这一结果表明主导该体系量子多体行为的是两体关联函数,三体关联函数(等边三角形上)几乎没有独立的新信息。
(3)在实验上,通过测量配对关联的短程行为,得到了Tan接触参数密度随相互作用强度变化的精确实验结果,且与QMC计算结果高度吻合(论文Fig.4),实现了多体计算与实验测量的交叉验证。
此外,研究团队还发现,在强相互作用的BEC区域,现有QMC计算结果与实验测量结果之间存在可观的定量偏差(见图2、图3中η较小的结果)。目前分析认为,该偏差主要源于实验体系的准二维特性。基于这一认识,团队正在进一步完善相应的QMC模拟计算,以期完整解释已有的实验观测。
这项研究是量子多体领域中一项难得的实验与理论交叉验证与协同确证的工作。在实验技术方面,所发展的连续体系量子气体显微镜技术有望拓展至自旋非平衡、排斥相互作用等复杂体系,在后续研究中发挥更重要的作用。在物理层面,研究结果一方面对传统BCS理论提出了挑战,另一方面也为强关联体系中的费米子配对及超导/超流微观机理研究,提供了来自关联函数的重要视角。